1696年6月,著名数学家约翰·伯努利( Johann Bernoulli ))在德国一份科学期刊《博学报》(Acta Eruditorum)上发表了以下问题:
在铅直平面上两点A,B之间要连一条曲线,使得不受摩擦的质点在重力的作用下沿这条曲线由A运动到B所需要的时间最少?
下图显示了约翰·伯努利和1696年6月用拉丁文在《博学报》上对该问题的表述。
这一数学难题被称为捷线(最速落径)。尽管约翰·伯努利自己已经知道如何解决这个问题,但他还是挑战了欧洲的其他数学家,并给他们6个月的时间来解决这个问题。然而,在那之后,没有人给出任何答案。就连历史上最伟大的知识分子之一戈特弗里德·莱布尼茨(Gottfried Leibniz)也要求延迟最后期限。1697年1月29日下午,艾萨克·牛顿在他的邮件中(一封来自伯努利的信)发现了这个问题。然后,他在夜间解出了这个难题,并以匿名方式寄回了答案。
下面是牛顿手写的答案。这个故事让我们对牛顿的天赋有了一些了解,因为约翰·伯努利花了两周的时间才解出它。
牛顿手写解的翻译是:
从给定点A出发,画一条平行于水平面的无界直线APCZ,在这条直线上描述任意摆线AQP,在Q点上与直线AB相交(并在必要时延伸),然后另一个摆线ADC的底和高[as AC: AP]应分别为前一个的底和高AB到AQ。这条最近的摆线将穿过B点,成为一条曲线,在这条曲线上,一个重物在自身重量的作用下,最迅速地从A点到达B点。
要了解牛顿对上述解的详细过程,请私信我。
最速落径曲线是一条位于二维平面上的曲线,有一个初始点A和一个终点B,仅受重力作用的一个质点从A点到B点时间最短的路径。
求曲线的问题有以下假设:
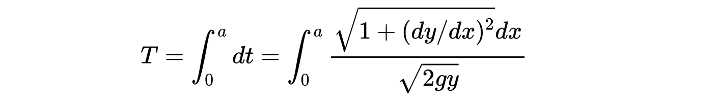
曲线上没有摩擦质点开始时是静止的引力场是常数是g假设解是函数y=y(x),为了方便起见,我们选择初始点A =(0,0)。最后一个点定义为B = (a, b)。由于质点最初处于静止状态,由能量守恒将得到:
然后我们把dt写成:
质点从A =(0,0)到B = (a, b)的总时间则为:
数学对象T依赖于函数y(x),因此它被称为泛函(函数的函数)。泛函只依赖于(一个或多个)变量,而不依赖于完整的函数。
我们要解决的问题是找出函数y(x)使总时间t最小。为此,我们需要学习一个叫做变分法的数学。
考虑一个函数ψ(x),ψ满足以下条件,即ψ(x_0)=y_0和ψ(x_1)=y_1。考虑第二个非常接近第一个的函数,把它写成:
请注意,关于ψ(x)的条件必须满足上述关于u(x)的条件。
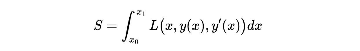
现在考虑以下函数:
注意,通过改变L(x, y, y '),我们得到了定积分S[y(x)]的不同值。现在我们考虑随ψ(x)变化而变化的L:
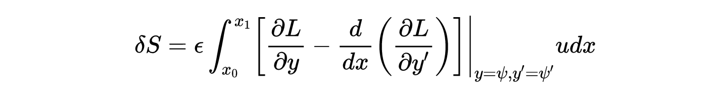
对两边积分,对第二项进行分部积分,利用u(x)所满足的条件,得到积分S的变化量如下:
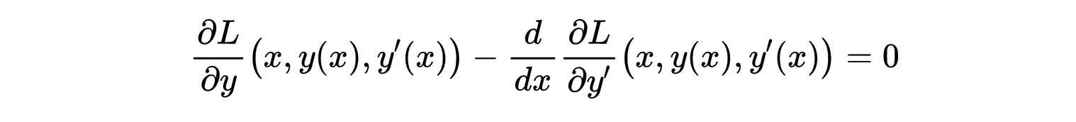
如果S是最小值,δS=0。由于u(x)是任意的,必须有:
当y(x)等于使L为极值的函数ψ(x)时,括号内的表达式消失。简化符号,我们得到了著名的欧拉-拉格朗日方程:
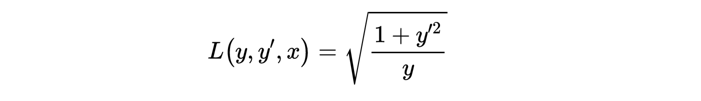
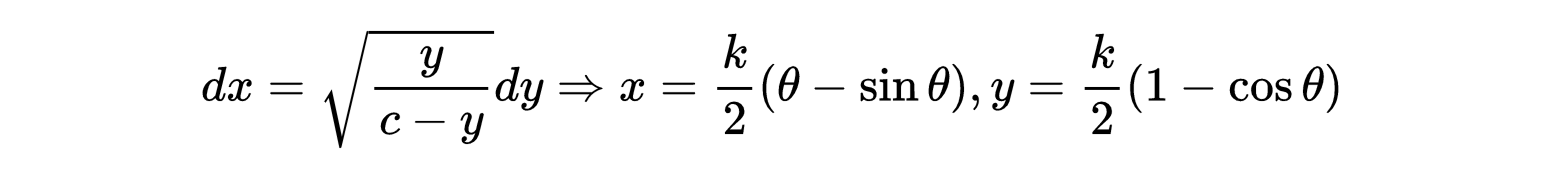
我们用它求出式3中最短的时间,其中:
经过代数的几步,我们得到以下微分方程及其相应的解:
式中k为某常数(依赖于边界条件),变量的变化如下:
这些参数方程描述了一个摆线,它是使T最小化的曲线,如下图所示。
1699年,数学家、自然哲学家、天文学家、发明家、宗教活动家法蒂奥( Fatio)发表了一篇论文“关于最速落径曲线的双重几何研究”,其中包含了另一种解决捷线问题的方法。
大卫·格雷戈里要求牛顿简化法蒂奥的解。这一节,我将描述牛顿的解。
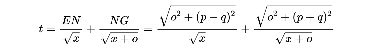
在图10中定义了相关的量。我们首先写出:
现在,我们从基本运动学得知,下落的质点在x处的速度为:
质点沿着ENG移动所需的时间正比于:
现在定义:
使总的时间t相对于q最小,经过一些简单的代数运算,我们得到了一个摆线的微分方程,由式11给出。
想了解更多精彩内容,快来关注老胡说科学
版权声明:我们致力于保护作者版权,注重分享,被刊用文章【最速曲线最简单证明(著名的数学难题)】因无法核实真实出处,未能及时与作者取得联系,或有版权异议的,请联系管理员,我们会立即处理! 部分文章是来自自研大数据AI进行生成,内容摘自(百度百科,百度知道,头条百科,中国民法典,刑法,牛津词典,新华词典,汉语词典,国家院校,科普平台)等数据,内容仅供学习参考,不准确地方联系删除处理!;
工作时间:8:00-18:00
客服电话
电子邮件
beimuxi@protonmail.com
扫码二维码
获取最新动态
