我们制作关于空间向量分析空间位置问题,主要针对点面的距离分析内容,给同学们学习一下。
利用空间向量分析点到面的距离问题,其实是一个比较带有难点特色的题型。
同学们对于向量的概念,点到面的距离的问题,还有空间的一些位置,关系一定要非常熟悉。
掌握空间向量的基础表达形式,还有模的分析。
通过例子,以达到轻松接纳这种题型的方法。
向量几何法:选取空间坐标原点,建立空间坐标系并将两条直线上任意两点的坐标读出,并计算出两直线的向量,并运用向量的运算法则(例如分配律、共线向量)来求出cosθ。
注意:夹角范围是(0,π/2].之所以不看成是0~180°,归根结底是因为直线并没有方向的概念,因此如果认为是0~180°,那么会在很多场合产生歧义(比如说一个人说两条直线夹角为45度,另一个人说两条直线夹角为135度,其实两个人所指的是同一对直线),对科学研究不利.相反,如果你有向量的概念的话就会发现向量的夹角范围为0~180°。
垂直于平面的直线所表示的向量为该平面的法向量。一个平面都存在无数个法向量。
平面法向量的具体步骤:(待定系数法)
1、建立恰当的直角坐标系
2、设平面法向量n=(x,y,z)
3、在平面内找出两个不共线的向量,记为a=(a1,a2, a3) b=(b1,b2,b3)
4、根据法向量的定义建立方程组①n·a=0 ②n·b=0
5、解方程组,取其中一组解即可。
法向量方法是高考数学可以采用的方法之一,它的优点在于思路简单,容易操作。只要能够建立出直角坐标系,都可以写出最后答案。缺点在于同一般立体几何方法相比,其计算量巨大,特别是在计算二面角的时候。
点到面的距离: 任一斜线(平面上一点与平面内的连线)在法向量方向的射影;如点B到平面α的距离d=|BD·n|/|n|(等式右边全为向量,D为平面内任意一点,向量n为平面α的法向量)。利用这个原理也可以求异面直线的距离
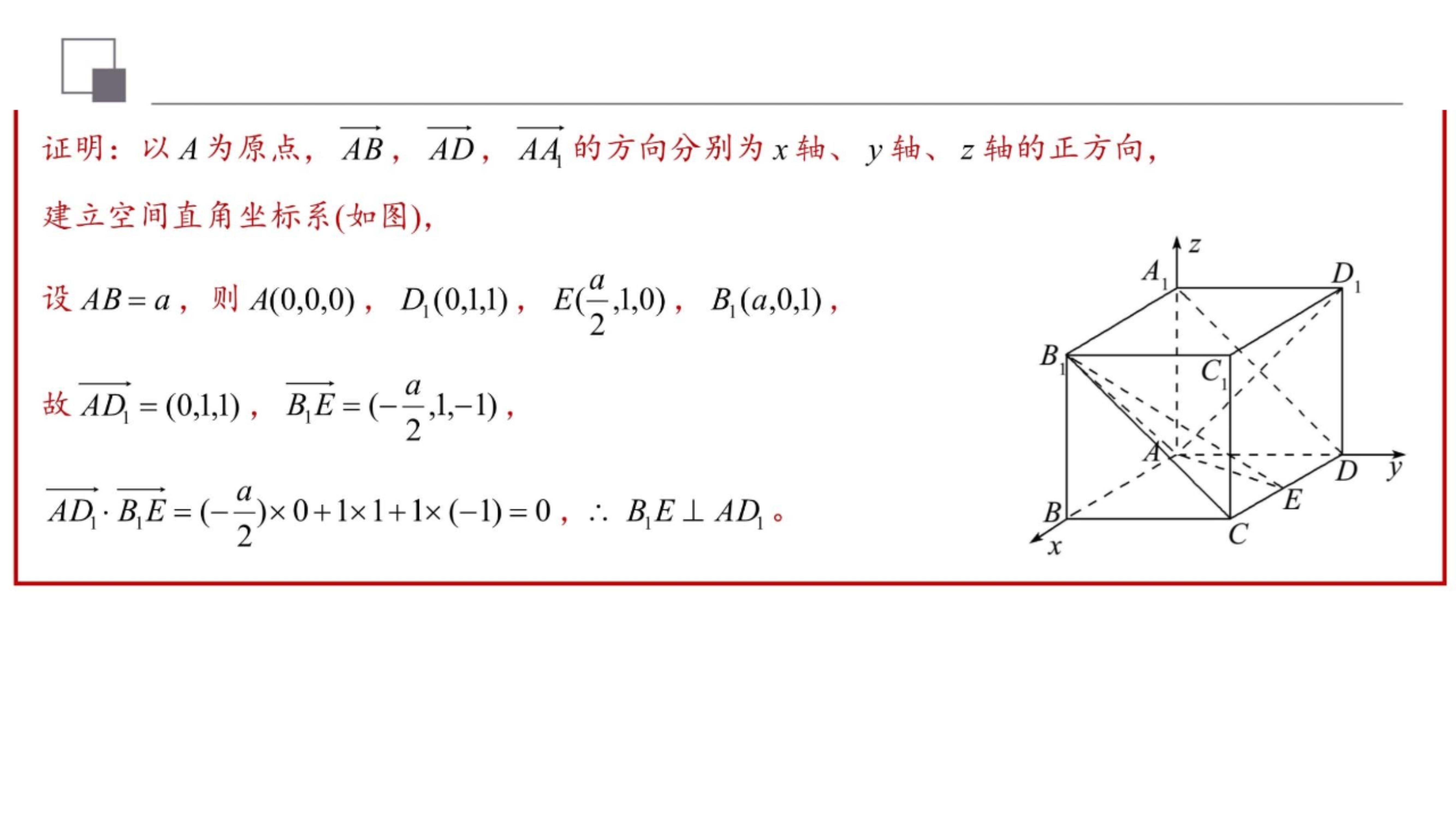
本题主要考查空间异面直线所成的角的向量求法,考查点到平面距离的向量求法,意在考查学生对这些知识的理解掌握水平和计算能力.
本题主要考查了平面与平面平行的判定,利用向量求点到平面的距离,考查转化思想以及空间想象能力.
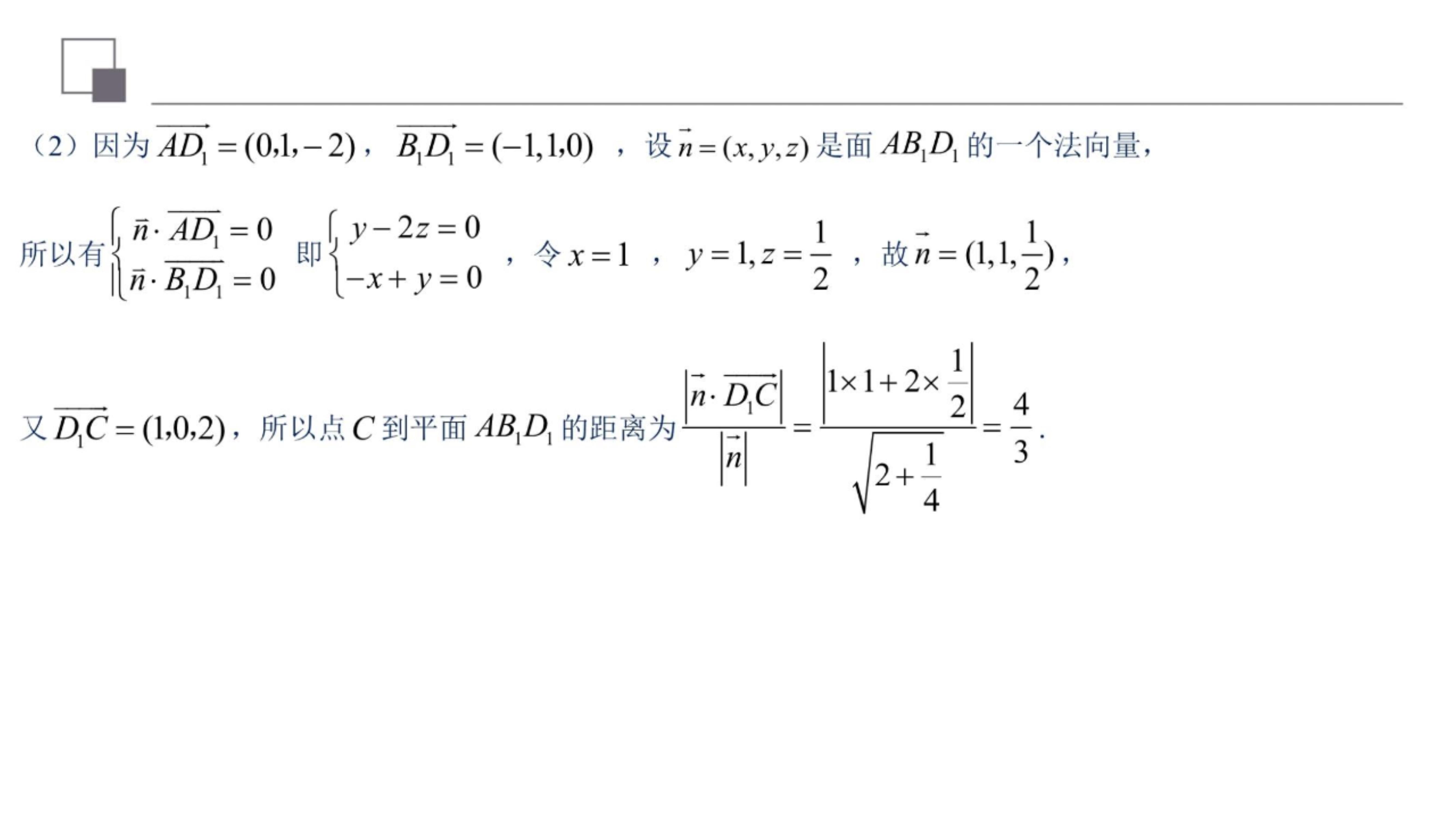
本题考查了线面垂直的判定定理应用,利用法向量法求点到平面距离。
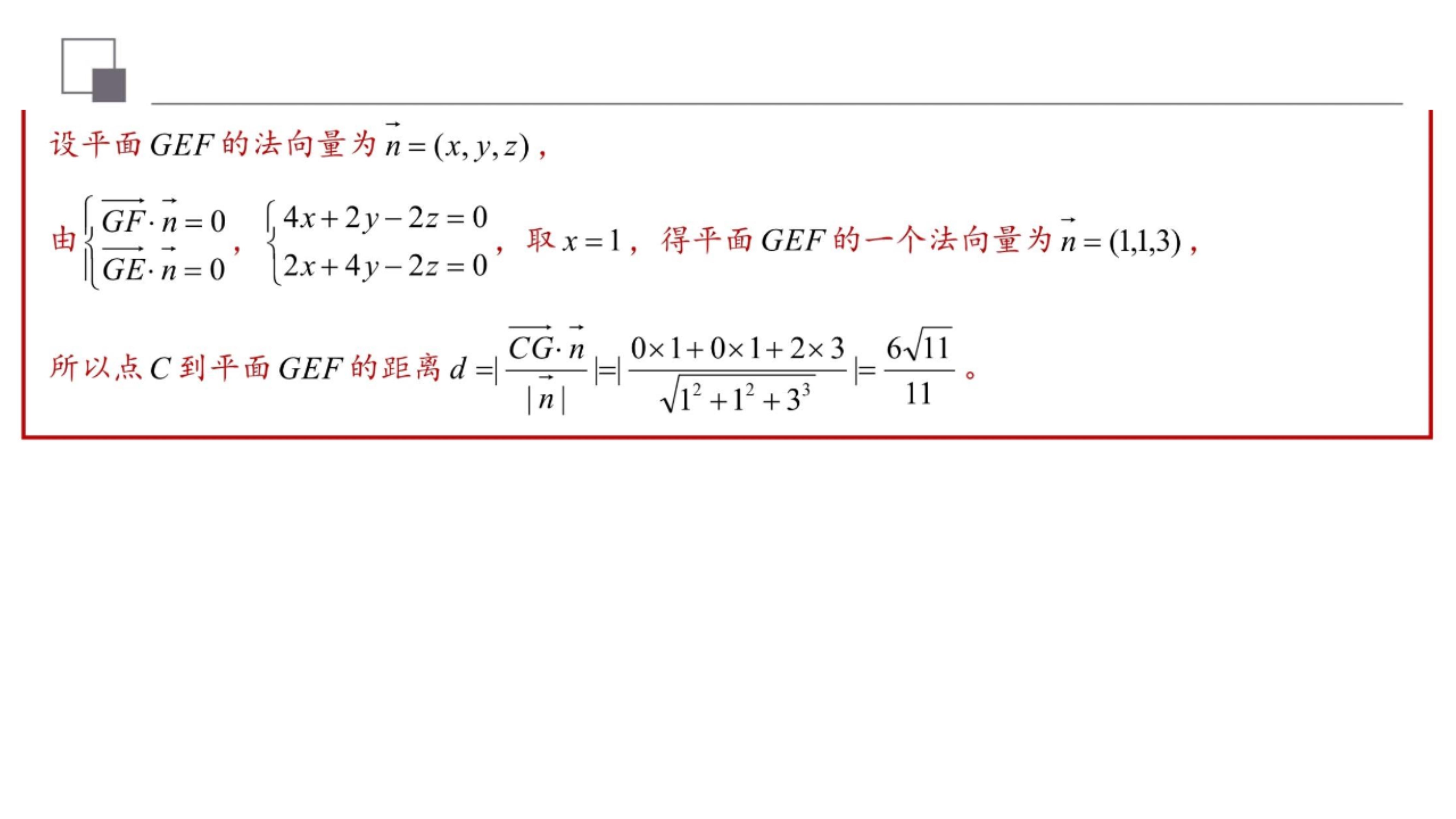
本题主要考查向量法求异面直线所成角的大小和点到面的距离,意在考查学生的数学建模以及数学运算能力.
本题考查向量法求异面直线所成的角、点到面的距离,考查空间想象能力和运算求解能力,求解时注意运算的准确性.
本题考查了线面平行,点到平面的距离,意在考查学生的空间想象能力和计算能力.
1、熟悉空间向量的基础定义,必须保证两两垂直的定义;
2、运用空间向量数量积公式,分析两异面直线的夹角的余弦值;
3、理解法向量的具体解答步骤;
4、学会利用空间向量公式转换为点到面距离的分析过程。
同学们加油!
版权声明:我们致力于保护作者版权,注重分享,被刊用文章【向量分配律证明(点到面距离分析)】因无法核实真实出处,未能及时与作者取得联系,或有版权异议的,请联系管理员,我们会立即处理! 部分文章是来自自研大数据AI进行生成,内容摘自(百度百科,百度知道,头条百科,中国民法典,刑法,牛津词典,新华词典,汉语词典,国家院校,科普平台)等数据,内容仅供学习参考,不准确地方联系删除处理!;
工作时间:8:00-18:00
客服电话
电子邮件
beimuxi@protonmail.com
扫码二维码
获取最新动态
