上篇:最美的公式:你也能懂的麦克斯韦方程组(微分篇)(上)
▽算子不是一个矢量,除非你把它作用在一个函数上,否则它没啥意义。但是,它在各个方面的表现确实又像一个矢量,只要你把▽算子的“作用”看成矢量的“相乘”。
一个矢量一般来说有3种“乘法”:
1、矢量A和一个标量a相乘:aA。比如我把一个矢量A大小变为原来的2倍,方向不变,那么这时候就可以写成2A。
2、矢量A和一个矢量B进行点乘:A·B。这个点乘我们上面介绍很多了,A·B=|A||B|Cosθ,这里就不说了。
3、矢量A和一个矢量B进行叉乘:A×B。这个叉乘跟点乘类似,也是我们单独针对矢量定义的另外一种乘法,A×B=|A||B|Sinθ。大家可以看到,这个叉乘跟点乘唯一的区别就是:点乘是两个矢量的大小乘以它们的余弦值Cosθ,叉乘是两个矢量的大小乘以它们的正弦值Sinθ(在直角三角形里,角的对边和斜边的比为正弦Sinθ,邻边和斜边的比值为余弦Cosθ)。
那么,同样的,我们的▽算子也有3种作用方式:
1、▽算子作用在一个标量函数z上:▽z。这个▽z我们上面说过了,它表示函数z的梯度,它表示这个函数z变化最快的方向。
2、▽算子跟一个矢量函数E点乘:▽·E。这就表示E的散度,我们开篇讲的高斯电场定律的左边就是电场E的散度,它就是表示成▽·E这样。
3、▽算子跟一个矢量函数E叉乘:▽×E。它叫E的旋度,这个我们后面会再详细说。
这样,我们就以一种很自然的方式引出了这三个非常重要的概念:梯度(▽z)、散度(▽·E)和旋度(▽×E)。大家可以看到,▽算子的这三种作用跟矢量的三种乘法是非常相似的,只不过▽是一个算子,它必须作用在一个函数上才行,所以我们把上面的标量和矢量换成了标量函数和矢量函数。
我们在描述山的高度的函数z=f(x,y)的时候,不同的点(x,y)对应不同的山的高度,而山的高度只有大小没有方向,所以这是个标量函数,我们可以求它的梯度▽z。但是,电场E既有大小又有方向,这是一个矢量,所以我们可以用一个矢量函数E=f(x,y)表示空间中不同点(x,y)的电场E的分布情况。那么对这种矢量函数,我们就不能去求它的梯度了,我们只能去求它的散度▽·E和旋度▽×E。
为了让大家对这些能够有更直观的概念,我们接下来就来仔细看看电场的散度▽·E。
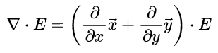
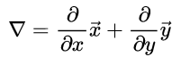
当我们把电场的散度写成▽·E这样的时候,我们会觉得:啊,好简洁!但是我们也知道▽算子的定义是这样的:
那么▽·E就应该写成这样:
而我们知道电场E其实是一个矢量函数(不同点对应的电场的情况),那我们还是可以把E分解成x,y两个分量的和,这两个分量后面跟一个x和y方向的单位向量就行了。那么,上面的式子就可以写成这样:
然后,因为矢量点乘是满足分配律的,所以我们可以把他们按照普通乘法一样展开成四项。而x和y是垂直的单位向量,所以x·y=y·x=0,x·x=y·y=1,然后我们最后剩下的就只有这两项了(这一块的推导逻辑跟“坐标系下的矢量点乘”那一节一样,觉得有点陌生的可以再返回去看看那一部分):
这就是电场E的散度的最终表达式,它的意思很明显:我们求电场E的散度就是把矢量函数E分解成x和y方向上的两个函数,然后分别对它们求偏导,最后再把结果加起来就行了。
为了让大家对这个有个更直观的概念,我们来看两个小例子:
例1:求函数y=2x+1的导数。
这个函数的图像是一条直线(不信的可以自己去找一些x的值,代入进去算算y的值,然后把这些点画在图上),它的斜率是2,也就是说导数是2。也就是说,对于一次函数(最多只有x,没有x的平方、立方……),它的导数就是x前面的系数(2x前面的2),而后面的常数(1)对导数没有任何影响。
例2:求电场E=2x+yy的散度。
我们先来看看这个电场E,它在x方向上(2x)的系数是2,也就是说它的电场强度是不变的,一直都是2。但是,在y方向上(yy)的系数是y,也就是说当我越来越远离y轴的时候,这个系数y也会越来越多,这就表示y方向上的电场强度会越来越大。
所以E=2x+yy描述的是这样一个在x轴方向上不变,在y轴方向上不断变大的电场。要求这个电场的散度,根据上面的式子,我们得先求出电场的偏导数,那偏导数要怎么求呢?还记得我们是怎么得到偏导数这个概念的么?我们是固定y的值,也就是假设y的值不变,把y看作一个常数,这时候求得了对x的偏导数;同样,把x当做一个常数,求函数对y的偏导数。
那么,当我们求函数对x的偏导数∂E/∂x时,我们可以把y当作常数(就像例1中后面的1一样)。如果y是常数,x方向前面的系数又是2,也是常数,所以这整个就变成了一个常数(常数的导数为0),所以∂E/∂x=0。同样,当我们求y的偏导的时候,就把x都看成常数(导数为0),而y方向前面的系数为y(导数为1),所以∂E/∂y=0+1=1。
那么电场E的散度▽·E就可以表示成这两个偏导数的和:▽·E=∂E/∂x+∂E/∂y=0+1=1,也就是说,电场E的散度为1。
这虽然是一个非常简单的求电场散度的例子,但是却包含了我们求偏导,求散度的基本思想。通过这种方式,我们可以很轻松的就把电场E的散度▽·E求出来了。
补了这么多的数学和推导,我们现在有了一个定义良好,计算方便的散度▽·表达式了,但是,你还记得我们在开始讲到的散度的定义么?我们最开始是怎样引入散度的呢?
我们是从麦克斯韦方程组的积分形式引入散度的。高斯电场定律说通过一个闭合曲面的电通量跟这个闭合曲面包含的电荷量成正比,而且这个曲面可以是任意形状。然后我们为了从宏观进入微观,就让这个曲面不停地缩小缩小,当它缩小到无穷小,缩小到只包含了一个点的时候,这时候我们就说通过这个无穷小曲面的通量和体积的比就叫散度(用div表示)。
也就是说,我们最开始从无穷小曲面的通量定义来的散度和我们上面通过偏导数定义来的散度▽·指的是同一个东西。即:
很多人可能觉得难以理解,这两个东西的表达形式和来源都完全不一样,它们怎么会是同一个东西呢?但是它们确实是同一个东西,那我们为什么要弄两套东西出来呢?在最开始我也说了,通过无穷小曲面的通量定义的散度很容易理解,跟麦克斯韦方程组的积分形式的通量也有非常大的联系,但是这种定义不好计算(上面的例2,你用这种方式去求它的散度试试?),所以我们需要找一种能方便计算、实际可用的方式,这样才出现了▽·形式的散度。
至于为什么这两种形式是等价的,我给大家提供一个简单的思路。因为这毕竟是面向大众的科普性质的文章,具体的证明过程我就不细说了。真正感兴趣的朋友可以顺着这个思路去完成自己的证明,或者来我的社群(回复“社群”即可)里讨论。
证明思路:我们假设有一个边长分别为Δx、Δy、Δz的小长方体,空间中的电场为E(x,y,z),然后假设在这个长方体的正中心有一个点(x,y,z),那么这个电场通过这个长方体前面(沿着x轴正方向)的电场就可以表示为:Ex(x+Δx/2,y,z)。Ex表示电场在x方向上的分量(因为我们是考虑长方体上表面的通量,所以只用考虑电场的x分量),因为中心坐标为(x,y,z),那么沿着x轴移动到表面的坐标自然就是(x+Δx/2,y,z)。而这个面的面积为ΔyΔz,那么通过前面的电通量就可以写成:Ex(x+Δx/2,y,z)·ΔyΔz。
同样的,通过长方体后面(沿着x轴的负方向)的电通量,就可以写成Ex(x-Δx/2,y,z)·ΔyΔz。因为这两个面的方向是相反的(前面后面,一个沿着x轴正方向,一个沿着负方向),所以,这两个沿着x轴方向的面的电通量之和Φx就应该是两者相减:Φx=(Ex(x+Δx/2,y,z)·ΔyΔz- Ex(x-Δx/2,y,z)·ΔyΔz)。
如果我们两边都除以Δv(其中,Δv=ΔxΔyΔz),那么就得到:Φx/Δv=(Ex(x+Δx/2,y,z)- Ex(x-Δx/2,y,z))/Δx,然后你会发现等式的右边刚好就是偏导数的定义(标准的极限定义)。也就是说,电场通过沿着x轴的两个面(前后两面)的通量之和就等于电场的x分量对x的偏导数:Φx/Δv=∂Ex/∂x。
同样的,我们发现电场沿着y轴的两面(左右两面)和z轴的两面(上下两面)的电通量之和分别就等于电场的y分量和z分量对y和z的偏导:Φy/Δv=∂Ey/∂y,Φz/Δv=∂Ez/∂z。然后我们把这三个式子加起来,左边就是电场通过六个面的通量除以体积,也就是通过这个长方体的通量除以体积,右边就是我们▽·E的形式,这分别就是我们上面两种散度的表示方式,证明完成。
这个证明一时半会没看懂也没关系,感兴趣的可以后面慢慢去琢磨。我只是想通过这种方式让大家明白通过某一方向的两个面的通量跟这方向的偏导数之间是存在这种对应关系的,这样我们就容易接受无穷小曲面的通量和▽·这两种散度的定义方式了。
这两种散度的定义方式各有所长,比如我们在判断某一点的散度是否为零的时候,我用第一个定义,去看看包含这个点的无穷小曲面的通量是不是为零就行了。如果这一点有电荷,那么这个无穷小曲面的电通量肯定就不为零,它的散度也就不为零;如果这个无穷小曲面没有包含电荷,那这一点的散度一定为0,这就是高斯电场定律的微分方程想要告诉我们的东西。但是,如果你要计算这一点的散度是多少,那还是乖乖的拿起▽·去计算吧。
此外,跟梯度一样,散度这个名字也是非常形象的。很多人会跟你说散度表示的是“散开的程度”,这种说法很容易让初学者误解或者迷惑,比如一个正电荷产生的产生的如下的电场线,它看起来是散开的,所以很多就会认为这里所有的点的散度都是不为零的,都是正的。
但是,根据我们上面分析,散度反映的是无穷小曲面的通量,这直接跟这一点是否有电荷对应。那么,这个图的中心有一个正电荷,那么这点的散度不为零没毛病,但是其他地方呢?其他地方看起来也是散开的,但是其他地方并没有电荷,没有电荷的话,其他点电场的散度就应该为0(因为这个地方无穷小曲面的通量有进有出,它们刚好抵消了),而不是你看起来的好像是散开的,所以为正。
也就是说,对于一个点电荷产生的电场,只有电荷所在的点的散度不为0,其他地方的散度都为0。我们不能根据一个电场看起来是散开的就觉得这里的散度都不为0,那么,这个散开到底要怎么理解呢?
你可以这么操作:你把电场线都想象成水流,然后拿一个非常轻的圆形橡皮筋放到这里,如果这个橡皮筋的面积变大,我们就说这个点的散度为正,反正为负。如果你把橡皮筋丢在电荷所在处,那么这点所有方向都往外流,那么橡皮筋肯定会被冲大(散度为正);但是在其他地方,橡皮筋会被冲走,但是不会被冲大(散度为0),因为里外的冲力抵消了。这样的话,这种散开的模型跟我们无穷小曲面的通量模型就不再冲突了。
说了这么多,又是证明不同散度形式(无穷小曲面的通量和▽·)的等价性,又是说明不同散度理解方式的同一性(无穷小曲面的通量和散开的程度),都是为了让大家从更多的维度全方位的理解散度的概念,尽量避开初学者学习散度会遇到的各种坑。理解了这个散度的概念之后,我们再来看麦克斯韦方程组的第一个方程——高斯电场定律的微分形式就非常容易理解了:
方程的左边▽·E表示电场在某一点的散度,方程右边表示电荷密度ρ和真空介电常数的比值。为什么右边要用电荷密度ρ而不是电荷量Q呢?因为散度是无穷小曲面的通量跟体积的比值,所以我们的电量也要除以体积,电量Q和体积V的比值就是电荷密度ρ。对比一下它的积分形式:
两边都除以一个体积V,然后曲面缩小到无穷小:左边的通量就变成了电场的散度▽·E,右边的电荷量Q就变成了电荷密度ρ,完美!
麦克斯韦方程组的积分形式和微分形式是一一对应的,理解这种对应的关键就是理解散度(和后面的旋度)这两种不同定义方式背后的一致性,它是沟通积分和微分形式的桥梁。理解了它们,我们就能在这两种形式的切换之间如鱼得水,我们就能一看到积分形式就能写出对应的微分形式,反之亦然。
理解了高斯电场定律的微分形式,那么高斯磁场定律的微分形式就能轻松写出来了。因为现在还没有找到磁单极子,磁感线都是闭合的曲线,所以闭合曲面的磁通量一定恒为0,这就是高斯磁场定律积分形式的思想:
那么,我们一样把这个曲面缩小到无穷小,通过这个无穷小曲面的磁通量就叫磁场的散度,那么方程的左边就变成了磁场的散度,而右边还是0。也就是说:磁场的散度处处为0。所以,麦克斯韦方程组的第二个方程——高斯磁场定律的微分形式就是:
静电和静磁的微分形式我们已经说完了,那么接下来就是磁如何生电的法拉第定律了。关于法拉第是如何通过实验一步一步发现法拉第定律的内容,我在积分篇里已经详细说了,这里就不再多说。对法拉第定律的基本思想和积分形式的内容还不太熟悉的请先去看上一篇积分篇的内容。
法拉第定律是法拉第对电磁感应现象的一个总结,他发现只要一个曲面的磁通量(B·a)发生了改变,那么就会在曲面的边缘感生出一个旋涡状的电场E出来。这个旋涡状的感生电场我们是用电场的环流来描述的,也就是电场沿着曲面边界进行的线积分。
用具体的公式表示就是这样:
公式左边是电场E的环流,用来描述这个被感生出来的电场,而公式的右边是磁通量的变化率,用来表示磁通量变化的快慢。
这个法拉第定律是用积分形式写的,我们现在要得到它的微分形式,怎么办?那当然还是跟我们上面的操作一样:从积分到微分,我把它无限缩小就行了。那么,这里我们把这个非闭合曲面缩小缩小,一直缩小到无穷小,那么我们这里就出现了一个无穷小曲面的环流。
还记得我们怎么定义散度的么?散度就是通过无穷小闭合曲面的通量和闭合曲面体积的比值,而我们这里出现了一个无穷小非闭合曲面的环流,因为非闭合曲面就没有体积的说法,只有面积。那么,通过无穷小非闭合曲面的环流和曲面面积的比值,会不会也有是一个另外什么量的定义呢?
没错,这确实是一个全新的量,而且这个量我们在前面稍微提到了一点,它就是旋度。我们把▽算子跟矢量做类比的时候,说一个矢量有三种乘法:跟标量相乘、点乘和叉乘。那么同样的,▽算子也有三种作用:作用在标量函数上叫梯度(▽z),以点乘的方式作用在矢量函数上被称为散度(▽·z),以叉乘的方式作用在矢量函数上被称为旋度(▽×z)。
也就是说,我们让▽算子以叉乘的方式作用在电场E上,我们就得到了电场E的旋度▽×E,而这个旋度的另一种定义就是我们上面说的无穷小非闭合曲面的环流和这个曲面的面积之比。因为旋度的英文单词是curl,所以我们用curl(E)表示电场的旋度。所以,我们就可以写下下面这样的式子:
跟散度的两种定义方式一样,我们这里的旋度也有▽×和无穷小曲面的环流两种表述方式。在散度那里,我给大家证明了那两种散度形式等价性,在旋度这里我就不再证明了,感兴趣的朋友可以按照类似的思路去尝试证明一下。
因为旋度是▽算子以叉乘×的方式作用在矢量场上,所以这里我们来简单的看一下叉乘。两个矢量A和B的点乘被定义为:A·B=|A||B|Cosθ,它们的叉乘则被定义为A×B=|A||B|Sinθ,其中θ为它们的夹角。单从这样看,它们之间的差别好像很小,只不过一个是乘以余弦Cosθ,另一个是乘以正弦Sinθ。
从它们的几何意义来说,点乘表示的是投影,因为|OA|Cosθ刚好就是OA在OB上的投影,也就是OC的长度。如下图:
那么叉乘呢?叉乘是|OA|Sinθ,这是AC的长度,那么A×B=|A||B|Sinθ=|AC||OB|,这是啥?这是面积啊,如果我以OA和OB为边长作一个平行四边形,那么AC就刚好是这个平行四边形的高,也就是说,矢量A和B的叉乘(A×B=|AC||OB|)就代表了平行四边形OADB的面积。
关于矢量的叉乘就说这么多,在前面讲矢量点乘的时候我还详细介绍了点乘的性质和坐标运算的方法,那是因为为了自然的引出▽算子,不得不讲那些。叉乘也有类似的性质和坐标运算的法则,这个在网上随便一搜或者找一本任意矢量分析的书都能找到。而且,你现在不会熟练的进行叉乘运算,并不会影响你对麦克斯韦方程组的微分形式的理解,这里了解一下它的定义和几何意义就行了。
好,知道了矢量的叉乘,知道了▽×E可以表示电场的旋度,而且知道旋度的定义是:无穷小非闭合曲面的环流和这个曲面的面积之比。那我们再来回过头看一看法拉第定律的积分形式:
公式的左边是电场的环流,右边是磁通量的变化率,它告诉我们变化的磁通量会在曲面边界感生出电场。我在积分篇里说过,磁通量(B·a)的变化可以有两种方式:磁场(B)的变化和通过曲面面积(S)的变化,我们上面这种方式是把这两种情况都算在内。但是,还有的学者认为只有磁场(B)的变化产生的电场才算法拉第定律,所以法拉第定律还有另外一个版本:
这个版本的把原来对整个磁通量(B·da)的求导变成了只对磁感应强度B的求偏导,这就把磁感线通过曲面面积变化的这种情况给过滤了。
在积分形式里有这样两种区别,但是在微分形式里就没有这种区分了。为什么?你想想我们是怎么从积分变到微分的?我们是让这个曲面不停的缩小缩小,一直缩小到无穷小,这个无穷小的曲面就只能包含一个没有大小的点了,你还让它的面积怎么变?所以我们的微分形式就只用考虑磁感应强度B的变化就行了(对应后面那个法拉第定律)。
我们现在假设把那个曲面缩小到无穷小,方程的左边除以一个面积ΔS,那就是电场的旋度▽×E的定义:
左边除了一个面积ΔS,那右边也得除以一个面积,右边本来是磁感应强度的变化率(∂B/∂t)和面积的乘积,现在除以一个面积,那么剩下的就是磁感应强度的变化率∂B/∂t了。那么,麦克斯韦方程组的第三个方程——法拉第定律的微分形式自然就是这样:
简洁吧?清爽吧?这样表示之后,法拉第定律的微分形式看起来就比积分形式舒服多了,而且它还只有这一种形式。直接从方程上来看,它告诉我们某一点电场的旋度等于磁感应强度的变化率。简单归简单,要理解这种公式,核心还是要理解左边,也就是电场的旋度▽×E。
我们知道旋度的定义是无穷小曲面的环流和面积的比值,但是它既然取了旋度这个名字,那么它跟旋转应该还是有点关系的。我们变化的磁场感生出来的电场也是一个旋涡状的电场。那么,是不是只要看起来像漩涡状的矢量场,它就一定有旋度呢?
这个问题我们在讨论散度的时候也遇到过,很多初学者认为只要看起来发散的东西就是有散度的,然后我们通过分析知道这是不对的。一个点电荷产生静电场,只要在电荷处散度不为零的,在其他地方,虽然看起来是散开的,其实它的散度是零。如果我们放一个非常轻的橡皮筋在上面,除了电荷所在处,其它地方这个橡皮筋是不会被撑开的(即便会被冲走),所以其他地方的散度都为零。
同样的,在旋度这里,一个变换的磁场会产生一个旋涡状的电场,在旋涡的中心,在磁场变化的这个中心点这里,它的旋度肯定是不为零的。但是,在其它地方呢?从公式上看,其它地方的旋度一定为零,为什么?因为其他地方并没有变化的磁场啊,所以按照法拉第定律的微分形式,没有变化的磁场的地方的电场的旋度肯定是0。
跟散度一样,我们不能仅凭一个感生电场是不是旋转状的来判断这点旋度是否为0,我们也需要借助一个小道具:小风车。我们把一个小风车放在某一点上,如果这个风车能转起来,就说明这点的旋度不为0。你只要把风车放在感生电场中心以外的地方,就会发现如果外层的电场线让小风车顺时针转,内层的电场线就会让小风车逆时针转,这两股力刚好抵消了。最终风车不会转,所以旋度为0。
如果大家能理解静电场除了中心点以外的地方散度处处为零,那么理解感生电场除了中心点以外的地方旋度处处为零就不是什么难事。在非中心点的地方,散度的流入流出两股力量抵消了,旋度顺时针逆时针的两股力量抵消了,为什么刚好他们能抵消呢?本质原因还是因为这两种电场都是随着距离的平方反比减弱。如果它们不遵守平方反比定律,那么你去计算里外的散度和旋度,它们就不再为零。
关于旋度的事情就先说这么多,大家如果理解了旋度,对比法拉第定律的积分方程,要理解它的微分方程是很容易的。我前面花了很大的篇幅给大家讲了矢量的点乘和散度,作为类比,理解矢量的叉乘和旋度也不是什么难事,它们确实太相似了。
讲完了磁生电的法拉第定律,我们麦克斯韦方程组就只剩最后一个电生磁的安培-麦克斯韦定律了。它描述的是电流和变化的电场如何产生旋涡状的感生磁场的,因为它电的来源有电流和变化的电场两项,所以它的形式也是最复杂的。方程的积分形式如下(具体过程见积分篇):
左边的磁场的环流,右边是曲面包围的电流(带enc下标的I)和电场的变化率。它告诉我们,如果我们画一个曲面,通过这个曲面的电流和这个曲面里电通量的变化会在曲面的边界感生出一个旋涡状的磁场出来,这个旋涡状的磁场自然是用磁场的环流来描述。
可以想象,当我们用同样的方法把这个曲面缩小到无穷小的时候,如果我们在方程的左右两边都除以这个曲面的面积,那么方程的左边就成了磁场B的旋度▽×B,右边的两项除以一个面积会变成什么呢?
电通量的变化率除以面积之后就剩下电场的变化率∂E/∂t,这个跟法拉第定律的磁通量变化率除以面积类似。那么电流(带enc的I)那一项呢?电流I除以面积得到的东西是什么?这里我们定义了一个新的物理量:电流密度J。很显然,这个电流密度J就是电流除以电流通过的曲面的面积(注意不是体积)。相应的,电流密度的单位是A/m²(安培每平方米)而不是A/m³。
这样,麦克斯韦方程组的第四个方程——安培-麦克斯韦定律的微分形式就自然出来了:
虽然还是有点长,但是相比积分形式已经是相当良心了,它告诉我们某一点感生磁场的旋度▽×B等于电流密度J和电场变化率∂E/∂t两项的叠加。其实它跟积分形式讲的都是一回事,都是在说电流和变化的电场能够产生一个磁场,只不过积分形式是针对一个曲面,而微分形式只是针对一个点而已。
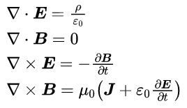
至此,麦克斯韦方程组的四个方程:描述静电的高斯电场定律、描述静磁的高斯磁场定律、描述磁生电的法拉第定律和描述电生磁的安培-麦克斯韦定律的微分形式就都说完了。把它们都写下来就是这样:
高斯电场定律说电场的散度跟这点的电荷密度成正比。
高斯磁场定律说磁场的散度处处为0。
法拉第定律说感生电场的旋度等于磁感应强度的变化率。
安培-麦克斯韦定律说感生磁场的旋度等于电流密度和电场强度变化率之和。
这里最引入注目的就是▽算子了,它以点乘和叉乘的方式组成的散度▽·和旋度▽×构成了麦克斯韦方程组微分形式的核心,这也是为什么我要花那么大篇幅从偏导数、矢量点乘一步步给大家引出▽算子的原因。也因为如此,微分篇的数学部分比积分篇要多得多得多,相对也要难以理解一些,所以大家要稍微有耐性一点。
从思想上来讲,微分形式和积分形式表达的思想是一样的,毕竟它们都是麦克斯韦方程组。它们的差别仅仅在于积分形式是从宏观的角度描述问题,我们面对的宏观上的曲面,所以要用通量和环流来描述电场、磁场;而微分形式是从微观的角度来描述问题,这时候曲面缩小都无穷小,我们面对的东西就变成了一个点,所以我们使用散度和旋度来描述电场、磁场。
这一点是特别要强调的:通量和环流是定义在曲面上的,而散度和旋度是定义在一个点上的。我们可以说通过通过一个曲面的通量或者沿曲面边界的环流,但是当我们在说散度和旋度的时候,我们都是在说一个点的散度和旋度。
理解了这些,你再回过头去看看麦克斯韦方程组的积分形式:
我们只不过把定义在曲面上的通量和环流缩小到了一个点,然后顺势在这个点上用利用通量和环流定义了散度和旋度。因为定义散度和旋度分别还除了一个体积和面积,所以我们积分方程的右边也都相应的除了一个体积和面积,然后就出现了电荷密度ρ(电荷Q除以体积V)和电流密度J(电流I除以面积S),电通量和磁通量那边除以一个体积和面积就剩下电场强度E和磁感应强度B的变化率,仅此而已。
如果我们从这种角度去看麦克斯韦方程组的积分形式和微分形式,你就会觉得非常的自然和谐。给出积分形式,你一想散度和旋度的定义,就可以立马写出对应的微分形式;给出微分形式,再想一想散度和旋度的定义,也能立刻写出对应的积分形式。当我想从宏观入手的时候,我看到了曲面上的通量和环流;当我想从微观入手的时候,我也能立马看到一个点上的散度和旋度。积分和微分形式在这里达成了一种和谐的统一。
到这里,麦克斯韦方程组的积分篇和微分篇就都说完了。长尾君在这两篇文章里先从零开始引出了通量,然后从通量的概念慢慢引出了麦克斯韦方程组的积分形式,再从积分形式用“把曲面压缩到无穷小”推出了对应的微分形式。整个过程我都极力做到“通俗但不失准确”,所有新概念的引出都会先做层层铺垫,绝不从天而降的抛出一个新东西。目的就是为了让多的人能够更好的了解麦克斯韦方程组,特别是让中学生也能看懂,能理解麦克斯韦方程组的美妙,同时也激发出他们对科学的好奇和热爱之心,打消他们对“高深”科学的畏惧之心:看,这么高大上的麦克斯韦方程组,年纪轻轻的我也能看懂,也能掌握~
此外,麦克斯韦方程组是真的很美,你掌握的物理知识越多,就会越觉得它美。我也更希望大家是因为它的美而喜欢这个方程组,而不仅仅是因为它的“重要性”。我们也都知道,麦克斯韦写出这套方程组以后,就从方程推导出了电磁波,当他把相关的参数代入进去算出电磁波的速度的时候,他惊呆了!他发现这个电磁波的速度跟人们实验测量的光速极为接近,于是他给出了一个大胆的预测:光就是一种电磁波。
可惜的是,英年早逝的麦克斯韦(48岁去世)并没能看到他的预言被证实,人类直到他去世9年后,也就是1888年才由赫兹首次证实了“光是一种电磁波”。那么,麦克斯韦是怎么从方程组导出电磁波的呢?既然我们已经学完了麦克斯韦方程组,想必大家也很知道如何从这套方程组推导出电磁波的方程,然后亲眼见证“电磁波的速度等于光速”这一奇迹时刻。这部分的内容,长尾科技下篇文章再说。
最后,这篇文章主要参考了《电动力学导论》(格里菲斯)和《麦克斯韦方程直观》(Daniel Fleisch),大家想对麦克斯韦方程组做进一步了解的可以看看这两本书,需要电子档的可以在后台回复“麦克斯韦方程组”。
最美的方程,愿你能懂她的美~
相关文章:《最美的公式:你也能懂的麦克斯韦方程组(积分篇)》
版权声明:我们致力于保护作者版权,注重分享,被刊用文章【向量分配律证明(最美的公式)】因无法核实真实出处,未能及时与作者取得联系,或有版权异议的,请联系管理员,我们会立即处理! 部分文章是来自自研大数据AI进行生成,内容摘自(百度百科,百度知道,头条百科,中国民法典,刑法,牛津词典,新华词典,汉语词典,国家院校,科普平台)等数据,内容仅供学习参考,不准确地方联系删除处理!;
工作时间:8:00-18:00
客服电话
电子邮件
beimuxi@protonmail.com
扫码二维码
获取最新动态
